Ғалам ғажаптары • 02 Шілде, 2025

Ең қиын есеп шешімін табады

50 рет
көрсетілді
1 мин
оқу үшін

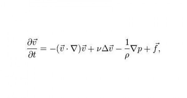
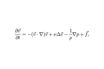
«Google DeepMind» компаниясы­­ның ғалымдары әлемдегі ең қиын ­есеп­тердің бірі Навье-Стокс тең­­деуін шешуге жақын қалды. Бұл есеп – арнайы тізімге енген мың­жылдық мәсе­лелерінің бірі. Оны шешкен адамға 1 миллион доллар сыйақы беріледі.

Ең қиын есеп шешімін табады

Команда бұл есеппен үш жылдан бері құпия түрде айналысып келеді. Оның құрамында белгілі математик Хавьер Гомес Серрано да бар. Оның айтуынша, олар есепті шешейін деп қалған. Бұл теңдеу сұйық пен газдың қозғалысын түсіндіруге көмектеседі. Егер есеп шешілсе, ауа райын болжау, авиация, медицина сияқты салаларда үлкен өзгерістер болады.

 

Соңғы жаңалықтар

Ширек ғасыр шекара шебінде

Мереке • Бүгін, 21:00